(超级黄金)今日黄金价格意外跳跌 旦有新低便是牛机
原标题:(超级黄金)今日黄金价格意外跳跌 旦有新低便是牛机
由于美国非农数据公布显示弱于预期,美指大幅回落,黄金和白银快速上行。黄金ETF加仓6.6吨,白银ETF持仓不变。周三日内经济数据有限,现货黄金和现货白银日内预计对昨日行情进行修正。
技术简析:

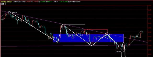
黄金4H图
从4小时走势上来看黄金价格上冲突破前期下跌转折点,即图中小白圈的点位1330的位置,4小时技术指标上显示1251的位置构成了4小时级别的盘整下行突破后的技术背离,而后的反弹突破了1330的转折位置。因此黄金价格技术上短线反弹后小幅回撤仍有反弹上攻的机会。而金价4小时一个盘整箱体的图形构成表示当前处于震荡走势当中。

黄金30分钟图
30分钟走势上,经过昨日的快速拉升后,国际金价强势盘整当前出现小幅回落,技术指标上显示当前小幅回落有构成短周期背离的态势。前期2个交易日横向盘整构成的平台支撑力度较强,上轨支撑位于1327。综合4小时技术上来看上方压制位于1352。
白银价格日内压制23.1下方支撑22.3,操作上白银短线多头可关注22.3附近进场机会。
操作上今日金价日内回撤1330多单进场,止损1326目标1350,日内需注意震荡走势过程中冲高回落。关注1352压制,若不会撤式直接上攻可于1352附近试空。近期将有回撤修正走势。
郑重声明:文章仅代表原作者观点,不代表本站立场;如有侵权、违规,可直接反馈本站,我们将会作修改或删除处理。