(每日黄金)黄金价格洗盘释放三信号必须赶紧调仓
原标题:(每日黄金)黄金价格洗盘释放三信号必须赶紧调仓
金鼎黄金网4月15日讯,因上周末乌克兰政府与国内亲俄武装人员发生交火,刺激避险情绪升温,黄金价格小幅上扬。不过,由于周一公布的美国3月零售销售数据创一年多来高位,同时美股结束上周大跌强势反弹,黄金价格上行空间恐遭到限制。现货黄金收涨。黄金价格上涨8.60美元,涨幅0.65%,报1326.70美元/盎司。
美国方面的数据显示,其3月PPI环比增0.5%,创去年6月来最大,而其核心PPI环更是创三年最大,随后公布的4月份密歇根大学消费者信心指数为82.6,创去年7月来最高,美国上周五公布的经济数据可谓一片大好,美国经济复苏的形势真正从冬季的低迷中走了出来,美元指数低位反弹。
乌克兰方面的局势发展有些出乎预料,政府与亲俄分子之间出现流血冲突,乌1死5伤。乌国政府在此次事件中相当强势,令亲俄派反对者周一早之前解除武装,否则乌方将开展全面反恐行动。同时强硬回应俄罗斯,称俄天然气价不公,将暂停支付款项。
美国和俄罗斯目前都相对比较谨慎,还没有实质性的行动和策略出台,投资者需要继续密切关注乌克兰局势动向。

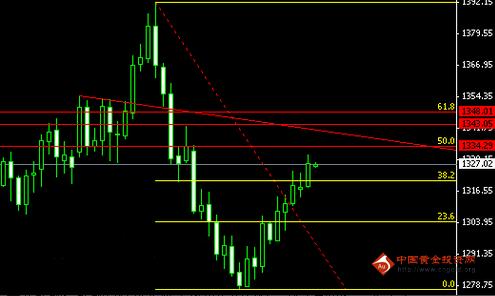
周线上看,洗盘释放三信号,现货金周线联系两阳的表现支撑着行情大区间上涨的趋势,在缺乏消息面的影响下,行情不会出现较大的跌幅,在上周周线腰半段1308内属于技术面正常的表现,上方关注1342一线即可。
黄金现货斐波拉契线在震荡行情的完美的表现,0.382线和0.50线恰好是日线上下区间,上方0.618线也是周线给出的点位1342一线。小区间上讲是维持震荡上行的,所以今日黄金价格操作以回调做多为主。
国际金价日线级别已经接近自大跌以来的50%回撤位置,将有一定阻力。KD指标接近高位,RSI短期指标拐头。短线4小时级别国际黄金价格KD指标顶背离有下跌迹象。1小时线测试MA60支撑有效性。
今日金价依旧会维持此区间运行,此区间1329-1321,国际黄金价格操作上先维持短线交易即可,下方1322附近若给机会可以适当的持有多单,等待破位,以1319为止损位即可,这一线是短期国际黄金价格多空分水岭。
金鼎黄金网(http://www.jdgold.com)黄金行情中心显示,北京时间08:55,今日黄金现货价格报1325.81美元/盎司。